A Soccer Ball Is Kicked Horizontally At 15.8 M/S . We can use the horizontal motion equation: a soccer ball is kicked horizontally at 15.8 m/s off the top of a field house and lands 33.9 metes from the base of the field. need insights into the question a soccer ball is kicked horizontally at 15.8 m/s off the top of a field house and lands 33.9 meters. a soccer ball is kicked horizontally at 15.8 m/s off the top of a field house and lands 33.9 meters from the base of the field. Therefore, the equation simplifies to:. The soccer ball travels a horizontal distance of 33.9m after being kicked with horizontal velocity of. D = vx * t. To solve this problem, we need to use the principles of physics, specifically the equations of motion. first, we need to find the time it takes for the ball to land. since the soccer ball is kicked horizontally, the initial vertical velocity is zero.
from www.chegg.com
We can use the horizontal motion equation: Therefore, the equation simplifies to:. To solve this problem, we need to use the principles of physics, specifically the equations of motion. since the soccer ball is kicked horizontally, the initial vertical velocity is zero. a soccer ball is kicked horizontally at 15.8 m/s off the top of a field house and lands 33.9 metes from the base of the field. D = vx * t. first, we need to find the time it takes for the ball to land. a soccer ball is kicked horizontally at 15.8 m/s off the top of a field house and lands 33.9 meters from the base of the field. need insights into the question a soccer ball is kicked horizontally at 15.8 m/s off the top of a field house and lands 33.9 meters. The soccer ball travels a horizontal distance of 33.9m after being kicked with horizontal velocity of.
Solved A soccer ball is kicked horizontally at v0=13 m/s
A Soccer Ball Is Kicked Horizontally At 15.8 M/S a soccer ball is kicked horizontally at 15.8 m/s off the top of a field house and lands 33.9 metes from the base of the field. Therefore, the equation simplifies to:. The soccer ball travels a horizontal distance of 33.9m after being kicked with horizontal velocity of. We can use the horizontal motion equation: a soccer ball is kicked horizontally at 15.8 m/s off the top of a field house and lands 33.9 meters from the base of the field. since the soccer ball is kicked horizontally, the initial vertical velocity is zero. need insights into the question a soccer ball is kicked horizontally at 15.8 m/s off the top of a field house and lands 33.9 meters. To solve this problem, we need to use the principles of physics, specifically the equations of motion. a soccer ball is kicked horizontally at 15.8 m/s off the top of a field house and lands 33.9 metes from the base of the field. first, we need to find the time it takes for the ball to land. D = vx * t.
From www.chegg.com
Solved Review Constants Part A A soccer ball is kicked A Soccer Ball Is Kicked Horizontally At 15.8 M/S We can use the horizontal motion equation: a soccer ball is kicked horizontally at 15.8 m/s off the top of a field house and lands 33.9 metes from the base of the field. first, we need to find the time it takes for the ball to land. Therefore, the equation simplifies to:. To solve this problem, we need. A Soccer Ball Is Kicked Horizontally At 15.8 M/S.
From www.chegg.com
Solved A soccer ball is kicked with an initial horizontal A Soccer Ball Is Kicked Horizontally At 15.8 M/S a soccer ball is kicked horizontally at 15.8 m/s off the top of a field house and lands 33.9 metes from the base of the field. first, we need to find the time it takes for the ball to land. a soccer ball is kicked horizontally at 15.8 m/s off the top of a field house and. A Soccer Ball Is Kicked Horizontally At 15.8 M/S.
From www.chegg.com
Solved A ball is kicked horizontally off the edge of a A Soccer Ball Is Kicked Horizontally At 15.8 M/S D = vx * t. To solve this problem, we need to use the principles of physics, specifically the equations of motion. first, we need to find the time it takes for the ball to land. The soccer ball travels a horizontal distance of 33.9m after being kicked with horizontal velocity of. since the soccer ball is kicked. A Soccer Ball Is Kicked Horizontally At 15.8 M/S.
From www.chegg.com
Solved Question 1 (1 point) Problems 14 Information A A Soccer Ball Is Kicked Horizontally At 15.8 M/S D = vx * t. a soccer ball is kicked horizontally at 15.8 m/s off the top of a field house and lands 33.9 metes from the base of the field. The soccer ball travels a horizontal distance of 33.9m after being kicked with horizontal velocity of. We can use the horizontal motion equation: Therefore, the equation simplifies to:.. A Soccer Ball Is Kicked Horizontally At 15.8 M/S.
From www.numerade.com
SOLVED A soccer ball is kicked horizontally off a 13.4 m high hill at A Soccer Ball Is Kicked Horizontally At 15.8 M/S To solve this problem, we need to use the principles of physics, specifically the equations of motion. Therefore, the equation simplifies to:. a soccer ball is kicked horizontally at 15.8 m/s off the top of a field house and lands 33.9 meters from the base of the field. since the soccer ball is kicked horizontally, the initial vertical. A Soccer Ball Is Kicked Horizontally At 15.8 M/S.
From www.chegg.com
Solved A soccer ball is kicked horizontally. What is its A Soccer Ball Is Kicked Horizontally At 15.8 M/S first, we need to find the time it takes for the ball to land. since the soccer ball is kicked horizontally, the initial vertical velocity is zero. need insights into the question a soccer ball is kicked horizontally at 15.8 m/s off the top of a field house and lands 33.9 meters. We can use the horizontal. A Soccer Ball Is Kicked Horizontally At 15.8 M/S.
From www.youtube.com
A soccer ball is kicked with an initial speed of YouTube A Soccer Ball Is Kicked Horizontally At 15.8 M/S The soccer ball travels a horizontal distance of 33.9m after being kicked with horizontal velocity of. a soccer ball is kicked horizontally at 15.8 m/s off the top of a field house and lands 33.9 metes from the base of the field. first, we need to find the time it takes for the ball to land. We can. A Soccer Ball Is Kicked Horizontally At 15.8 M/S.
From www.storyblocks.com
Horizontal image of soccer ball being kicked by footballer against blue A Soccer Ball Is Kicked Horizontally At 15.8 M/S since the soccer ball is kicked horizontally, the initial vertical velocity is zero. We can use the horizontal motion equation: first, we need to find the time it takes for the ball to land. need insights into the question a soccer ball is kicked horizontally at 15.8 m/s off the top of a field house and lands. A Soccer Ball Is Kicked Horizontally At 15.8 M/S.
From www.numerade.com
A soccer ball is kicked horizontally off a 22.0meter high hill and A Soccer Ball Is Kicked Horizontally At 15.8 M/S first, we need to find the time it takes for the ball to land. D = vx * t. To solve this problem, we need to use the principles of physics, specifically the equations of motion. Therefore, the equation simplifies to:. a soccer ball is kicked horizontally at 15.8 m/s off the top of a field house and. A Soccer Ball Is Kicked Horizontally At 15.8 M/S.
From poe.com
What is the initial horizontal velocity of a soccer ball kicked A Soccer Ball Is Kicked Horizontally At 15.8 M/S a soccer ball is kicked horizontally at 15.8 m/s off the top of a field house and lands 33.9 meters from the base of the field. since the soccer ball is kicked horizontally, the initial vertical velocity is zero. first, we need to find the time it takes for the ball to land. We can use the. A Soccer Ball Is Kicked Horizontally At 15.8 M/S.
From www.chegg.com
Solved A soccer ball is kicked horizontally at v0=13 m/s A Soccer Ball Is Kicked Horizontally At 15.8 M/S D = vx * t. first, we need to find the time it takes for the ball to land. The soccer ball travels a horizontal distance of 33.9m after being kicked with horizontal velocity of. a soccer ball is kicked horizontally at 15.8 m/s off the top of a field house and lands 33.9 metes from the base. A Soccer Ball Is Kicked Horizontally At 15.8 M/S.
From brainly.com
Need help ASAP!! A soccer ball is kicked from the ground. After A Soccer Ball Is Kicked Horizontally At 15.8 M/S We can use the horizontal motion equation: To solve this problem, we need to use the principles of physics, specifically the equations of motion. Therefore, the equation simplifies to:. need insights into the question a soccer ball is kicked horizontally at 15.8 m/s off the top of a field house and lands 33.9 meters. The soccer ball travels a. A Soccer Ball Is Kicked Horizontally At 15.8 M/S.
From www.numerade.com
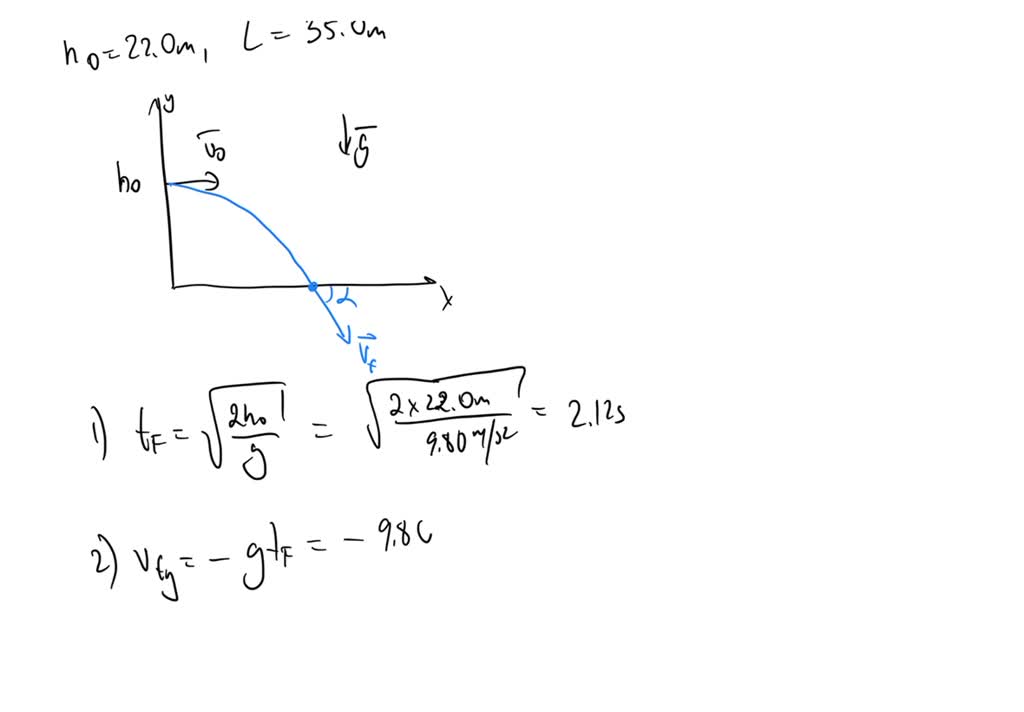
SOLVED A soccer ball is kicked horizontally off a 22.0meter high hill A Soccer Ball Is Kicked Horizontally At 15.8 M/S first, we need to find the time it takes for the ball to land. Therefore, the equation simplifies to:. a soccer ball is kicked horizontally at 15.8 m/s off the top of a field house and lands 33.9 metes from the base of the field. since the soccer ball is kicked horizontally, the initial vertical velocity is. A Soccer Ball Is Kicked Horizontally At 15.8 M/S.
From www.numerade.com
SOLVED A soccer ball is kicked horizontally off a 22.0meter high hill A Soccer Ball Is Kicked Horizontally At 15.8 M/S D = vx * t. The soccer ball travels a horizontal distance of 33.9m after being kicked with horizontal velocity of. Therefore, the equation simplifies to:. need insights into the question a soccer ball is kicked horizontally at 15.8 m/s off the top of a field house and lands 33.9 meters. To solve this problem, we need to use. A Soccer Ball Is Kicked Horizontally At 15.8 M/S.
From www.gauthmath.com
Solved 3. A soccer ball is kicked horizontally off a 22.0m[algebra A Soccer Ball Is Kicked Horizontally At 15.8 M/S first, we need to find the time it takes for the ball to land. We can use the horizontal motion equation: a soccer ball is kicked horizontally at 15.8 m/s off the top of a field house and lands 33.9 metes from the base of the field. The soccer ball travels a horizontal distance of 33.9m after being. A Soccer Ball Is Kicked Horizontally At 15.8 M/S.
From www.youtube.com
Projectile motion soccer ball on hill YouTube A Soccer Ball Is Kicked Horizontally At 15.8 M/S a soccer ball is kicked horizontally at 15.8 m/s off the top of a field house and lands 33.9 meters from the base of the field. We can use the horizontal motion equation: a soccer ball is kicked horizontally at 15.8 m/s off the top of a field house and lands 33.9 metes from the base of the. A Soccer Ball Is Kicked Horizontally At 15.8 M/S.
From brainly.ph
A soccer ball is kicked horizontally off a 22.0 meter high hill and A Soccer Ball Is Kicked Horizontally At 15.8 M/S D = vx * t. Therefore, the equation simplifies to:. We can use the horizontal motion equation: a soccer ball is kicked horizontally at 15.8 m/s off the top of a field house and lands 33.9 meters from the base of the field. need insights into the question a soccer ball is kicked horizontally at 15.8 m/s off. A Soccer Ball Is Kicked Horizontally At 15.8 M/S.
From brainly.com
A soccer ball is kicked horizontally off a 22 m high hill and lands a A Soccer Ball Is Kicked Horizontally At 15.8 M/S since the soccer ball is kicked horizontally, the initial vertical velocity is zero. a soccer ball is kicked horizontally at 15.8 m/s off the top of a field house and lands 33.9 metes from the base of the field. first, we need to find the time it takes for the ball to land. D = vx *. A Soccer Ball Is Kicked Horizontally At 15.8 M/S.